Studi Komprehensif HemoHIM The HemoHIM Comprehensive Study 헤모힘 종합 연구

Produk HemoHIM

Bagian 1: Latar Belakang dan Sejarah HemoHIM Part 1: Background and History of HemoHIM 파트 1: 헤모힘의 배경 및 역사

HemoHIM adalah suplemen kesehatan fungsional berbentuk ekstrak herbal cair. Namanya merupakan singkatan dari Hemo (Hemoglobin) dan HIM (Hematopoiesis, Immunity, Modulation), yang mencerminkan tujuannya untuk mendukung pembentukan darah dan memodulasi sistem kekebalan tubuh. HemoHIM is a functional health supplement in the form of a liquid herbal extract. Its name is an abbreviation of Hemo (Hemoglobin) and HIM (Hematopoiesis, Immunity, Modulation), reflecting its purpose to support blood formation and modulate the immune system. 헤모힘은 액상 허브 추출물 형태의 개별인정형 건강기능식품입니다. 이름은 Hemo(헤모글로빈)와 HIM(조혈, 면역, 조절)의 약자로, 혈액 생성 지원 및 면역 체계 조절이라는 목적을 반영합니다.

Kelahiran dari Proyek Nasional: Birth from a National Project: 국가 프로젝트의 탄생: HemoHIM lahir dari proyek pemerintah Korea Selatan senilai 5 miliar Won yang berlangsung selama 8 tahun (1997-2005) di Korea Atomic Energy Research Institute (KAERI). Tujuannya adalah untuk mengembangkan suplemen yang dapat melindungi para ilmuwan dan peneliti KAERI dari efek negatif radiasi yang mereka hadapi setiap hari. Tim peneliti menguji dan merekayasa ulang berbagai ramuan herbal tradisional untuk menciptakan formula yang dapat meningkatkan imunitas tanpa efek samping. HemoHIM was born from a 5 billion Won South Korean government project that lasted for 8 years (1997-2005) at the Korea Atomic Energy Research Institute (KAERI). The goal was to develop a supplement that could protect KAERI's scientists and researchers from the negative effects of radiation they faced daily. The research team tested and re-engineered various traditional herbal remedies to create a formula that could enhance immunity without side effects. 헤모힘은 한국원자력연구원(KAERI)에서 8년간(1997-2005) 50억 원이 투입된 대한민국 국책 사업으로 탄생했습니다. 그 목적은 매일 방사선의 부정적인 영향에 노출되는 KAERI 소속 과학자와 연구원들을 보호할 수 있는 보조제를 개발하는 것이었습니다. 연구팀은 부작용 없이 면역력을 향상시킬 수 있는 포뮬러를 만들기 위해 다양한 전통 허브 요법을 실험하고 재설계했습니다.

Perjuangan Park Han Gill dan Atomy: The Struggle of Park Han Gill and Atomy: 박한길과 애터미의 노력: Setelah dikembangkan, produk ini diproduksi oleh Kolmar BNH dengan nama HemoRICH Gel namun menghadapi kesulitan pemasaran karena harga yang sangat tinggi (sekitar 770,000 Won untuk 30 saset) dan kemasan yang kurang menarik. Park Han Gill, yang saat itu sedang berjuang melawan sirosis hati dan diabetes, menemukan produk ini dan merasakan manfaatnya. Dengan keyakinan penuh pada kualitas produk, ia bernegosiasi untuk mendapatkan hak distribusi eksklusif. Melalui model bisnis Atomy, ia berhasil memangkas harga secara drastis menjadi 76,500 Won untuk 30 saset. Langkah inilah yang membuat HemoHIM dapat diakses oleh masyarakat luas sebelum kemudian distandarkan dalam kemasan 60 saset seperti sekarang. After its development, the product was manufactured by Kolmar BNH under the name HemoRICH Gel but faced marketing difficulties due to its very high price (around 770,000 Won for 30 sachets) and unattractive packaging. Park Han Gill, who was then battling liver cirrhosis and diabetes, discovered the product and experienced its benefits. With full conviction in the product's quality, he negotiated to obtain exclusive distribution rights. Through the Atomy business model, he drastically cut the price to 76,500 Won for 30 sachets. This move made HemoHIM accessible to the general public before it was later standardized in the 60-sachet packaging as it is today. 개발 후 이 제품은 콜마BNH에서 '헤모리치 겔'이라는 이름으로 제조되었으나, 매우 비싼 가격(30포 기준 약 770,000원)과 매력적이지 않은 포장 때문에 마케팅에 어려움을 겪었습니다. 당시 간경화와 당뇨병 투병 중이던 박한길 회장은 이 제품을 발견하고 그 효능을 직접 경험했습니다. 제품의 품질에 대한 확신을 바탕으로 독점 유통권을 확보하기 위해 협상했습니다. 애터미 비즈니스 모델을 통해 그는 가격을 30포 기준 76,500원으로 대폭 인하했습니다. 이러한 조치는 헤모힘이 대중에게 널리 보급되는 계기가 되었으며, 이후 현재의 60포 표준 패키지로 자리 잡았습니다.

Bagian 2: Manfaat, Fungsi, dan Cara Kerja HemoHIM Part 2: Benefits, Function, and Mechanism of HemoHIM 파트 2: 헤모힘의 효능, 기능 및 작용 원리

Menurut data resmi Atomy dan persetujuan dari MFDS Korea, HemoHIM dirancang untuk memberikan fungsi ganda melalui empat mekanisme utama: According to official Atomy data and approval from the Korean MFDS, HemoHIM is designed to provide dual functions through four main mechanisms: 애터미 공식 자료 및 한국 식품의약품안전처(MFDS)의 승인에 따르면 헤모힘은 다음 네 가지 주요 작용 원리를 통해 이중 기능을 제공하도록 설계되었습니다:

Memodulasi Imun Tubuh Modulating the Immune System 면역 체계 조절

Meningkatkan Sel NK & Sel Imun Enhancing NK & Immune Cells NK 세포 및 면역 세포 활성화

Meningkatkan Produksi Sitokin Enhancing Cytokine Production 사이토카인 생성 증가

Membantu Mengatasi Kelelahan Helping to Overcome Fatigue 피로 개선에 도움

Bagian 3: Komposisi Bahan Inti HemoHIM Part 3: Core Ingredients of HemoHIM 파트 3: 헤모힘의 핵심 원료

Formula asli HemoHIM dikembangkan dari tiga bahan herbal utama. Berikut adalah bahan-bahan inti tersebut: The original HemoHIM formula was developed from three main herbal ingredients. These core components are: 헤모힘의 오리지널 포뮬러는 세 가지 주요 허브 원료를 기반으로 개발되었습니다. 핵심 성분은 다음과 같습니다:

Angelica Gigas Radix

Bahan ini dipercaya membantu meningkatkan sirkulasi dan imunitas. Ini juga merupakan bahan yang diidentifikasi sebagai sumber alami Methoxsalen. This ingredient is believed to help improve circulation and immunity. It was also identified as the natural source of Methoxsalen. 당귀. 이 성분은 혈액 순환과 면역력 증진에 도움을 주는 것으로 알려져 있습니다. 또한 메톡살렌의 천연 공급원으로 확인된 성분이기도 합니다.

Cnidium Officinale Rhizoma

Secara tradisional digunakan untuk melancarkan peredaran darah dan dianggap membantu meredakan nyeri. Traditionally used to promote blood circulation and is considered helpful in relieving pain. 천궁. 전통적으로 혈액 순환을 촉진하는 데 사용되며 통증 완화에 도움이 되는 것으로 여겨집니다.

Paeonia Japonica Radix

Sering digunakan untuk menutrisi darah, mengatur fungsi imunitas, dan memiliki efek anti-inflamasi. Often used to nourish the blood, regulate immune function, and has anti-inflammatory effects. 백작약. 주로 혈액을 보충하고 면역 기능을 조절하며 항염 효과가 있는 것으로 사용됩니다.

Bagian 4: Sertifikasi Global - Informed Choice Part 4: Global Certification - Informed Choice 파트 4: 글로벌 인증 - 인폼드 초이스(Informed Choice)

Informed Choice Logo

Selain paten, HemoHIM juga telah memperoleh sertifikasi **Informed Choice**. Ini adalah program jaminan kualitas dan sertifikasi global untuk produk nutrisi olahraga. Sertifikasi ini menjamin bahwa produk yang terdaftar telah diuji secara rutin dan ketat untuk zat-zat yang dilarang dalam dunia olahraga oleh LGC, sebuah laboratorium anti-doping kelas dunia. Bagi para atlet dan konsumen umum, logo Informed Choice memberikan keyakinan bahwa produk tersebut telah melalui proses manufaktur yang terpercaya dan aman untuk dikonsumsi tanpa risiko kontaminasi zat terlarang. In addition to patents, HemoHIM has also obtained **Informed Choice** certification. This is a global quality assurance and certification program for sports nutrition products. This certification guarantees that a listed product is routinely and rigorously tested for substances banned in sports by LGC, a world-class anti-doping laboratory. For both athletes and general consumers, the Informed Choice logo provides assurance that the product has undergone a trustworthy manufacturing process and is safe for consumption without the risk of contamination with prohibited substances. 특허 외에도 헤모힘은 **인폼드 초이스(Informed Choice)** 인증을 획득했습니다. 이는 스포츠 영양 제품을 위한 글로벌 품질 보증 및 인증 프로그램입니다. 이 인증은 세계적 수준의 안티도핑 연구소인 LGC에 의해 등록된 제품이 스포츠에서 금지된 약물에 대해 정기적이고 엄격하게 테스트됨을 보장합니다. 운동선수와 일반 소비자 모두에게 인폼드 초이스 마크는 해당 제품이 신뢰할 수 있는 제조 과정을 거쳤으며 금지 약물 오염의 위험 없이 안전하게 섭취할 수 있다는 확신을 줍니다.

Bagian 5: Peringkat Keamanan FDA AS - Klasifikasi NAI Part 5: US FDA Safety Rating - NAI Classification 파트 5: 미국 FDA 안전 등급 - NAI 분류

US FDA Logo

Pada Oktober 2024, produsen HemoHIM, Kolmar BNH, menerima klasifikasi **NAI (No Action Indicated)** dari Food and Drug Administration (FDA) Amerika Serikat setelah inspeksi di pabrik Sejong pada bulan Juni. NAI adalah peringkat keamanan tertinggi yang diberikan oleh FDA, yang menandakan bahwa pabrik tersebut mematuhi standar Good Manufacturing Practice (GMP) dan tidak ada keberatan atau pelanggaran yang ditemukan. Pencapaian ini, yang mengikuti sertifikasi GMP dari TGA Australia pada tahun 2021, memperkuat reputasi keamanan dan kualitas produk HemoHIM di panggung global, terutama untuk ekspansi di pasar AS. In October 2024, HemoHIM's manufacturer, Kolmar BNH, received the **NAI (No Action Indicated)** classification from the United States Food and Drug Administration (FDA) following an inspection at its Sejong plant in June. NAI is the highest safety rating issued by the FDA, signifying that the facility complies with Good Manufacturing Practice (GMP) standards and that no objections or violations were found. This achievement, following a GMP certification from Australia's TGA in 2021, strengthens HemoHIM's reputation for safety and quality on the global stage, especially for expansion in the US market. 2024년 10월, 헤모힘의 제조사인 콜마BNH는 6월 세종 공장 실사 후 미국 식품의약국(FDA)으로부터 **NAI(No Action Indicated: 무조치 지시)** 등급을 받았습니다. NAI는 FDA가 부여하는 최고 안전 등급으로, 해당 시설이 우수 제조 관리 기준(GMP)을 준수하고 있으며 어떠한 지적 사항이나 위반 사항도 발견되지 않았음을 의미합니다. 2021년 호주 TGA의 GMP 인증에 이은 이번 성과는 글로벌 무대, 특히 미국 시장 진출에 있어 헤모힘의 안전성과 품질에 대한 명성을 더욱 확고히 합니다.

Bagian 6: Paten yang Diperoleh HemoHIM Part 6: Patents Obtained by HemoHIM 파트 6: 헤모힘 획득 특허

Kredibilitas HemoHIM didukung oleh sejumlah paten yang terdaftar di berbagai negara, melindungi komposisi herbal uniknya. HemoHIM's credibility is supported by a number of patents registered in various countries, protecting its unique herbal composition. 헤모힘의 신뢰성은 독특한 허브 조성을 보호하는 여러 국가의 등록 특허로 뒷받침됩니다.

Bagian 7: Jurnal Medis Terkait HemoHIM Part 7: Medical Journals Related to HemoHIM 파트 7: 헤모힘 관련 의학 저널

HemoHIM memiliki total 23 Jurnal Medis di Situs Web Perpustakaan Kedokteran Nasional Pemerintah AS (PubMed) (per tahun 2025), dan akan terus ada lebih banyak Jurnal Medis yang diterbitkan di masa mendatang! HemoHIM has a total of 23 Medical Journals on the US Government's National Library of Medicine (PubMed) Website (as of 2025), and more will continue to be published in the future! 헤모힘은 미국 국립의학도서관(PubMed)에 총 23건의 의학 저널이 등재되어 있으며(2025년 기준), 앞으로도 더 많은 관련 의학 저널이 발표될 예정입니다!

  1. HemoHIM, sediaan herbal, meredakan peradangan saluran napas akibat asap rokok dan lipopolisakaridaHerbal preparation HemoHIM alleviates cigarette smoke- and lipopolysaccharide-induced airway inflammation허브 제제 헤모힘, 담배 연기 및 지질다당류 유도 기도 염증 완화
  2. Efek Pencegahan Sediaan Herbal, HemoHIM, terhadap Penekanan Kekebalan Tubuh yang Diinduksi CisplatinPreventive Effects of Herbal Preparation, HemoHIM, on Cisplatin-Induced Immune Suppression시스플라틴 유발 면역 억제에 대한 허브 제제 헤모힘의 예방 효과
  3. Persiapan herbal (HemoHIM) meningkatkan pematangan fungsional sel dendritik yang berasal dari sumsum tulang yang dimediasi oleh reseptor seperti tol 4Herbal preparation (HemoHIM) enhances the functional maturation of bone marrow-derived dendritic cells mediated by toll-like receptor 4허브 제제(헤모힘)가 톨 유사 수용체 4를 매개로 한 골수 유래 수지상 세포의 기능적 성숙을 촉진
  4. Aktivitas antiinflamasi dari sediaan herbal (HemoHIM) pada tikus.Anti-inflammatory activity of herbal preparation (HemoHIM) in rats.쥐 모델에서의 허브 제제(헤모힘)의 항염증 활성
  5. Efek perlindungan HemoHIM pada sistem kekebalan dan hematopoietik terhadap -iradiasiProtective effect of HemoHIM on the immune and hematopoietic systems against γ-irradiation감마선 조사에 대한 헤모힘의 면역 및 조혈 시스템 보호 효과
  6. Efek Imunomodulator dan Antidiabetik Sediaan Herbal Baru (HemoHIM) pada Tikus Diabetes yang Diinduksi StreptozotocinImmunomodulatory and Antidiabetic Effects of a New Herbal Preparation (HemoHIM) on Streptozotocin-Induced Diabetic Mice스트렙토조토신 유발 당뇨병 쥐 모델에서 새로운 허브 제제(헤모힘)의 면역 조절 및 항당뇨 효과
  7. Efek perlindungan dari ekstrak terstandar (HemoHIM) menggunakan model cedera mukosa lambung yang diinduksi indometasin dan etanol/HClProtective effect of a standardized extract (HemoHIM) using indomethacin- and ethanol/HCl-induced gastric mucosal injury models인도메타신 및 에탄올/HCl 유도 위점막 손상 모델에서 표준화 추출물(헤모힘)의 보호 효과
  8. Meningkatkan kemanjuran antitumor cisplatin dalam kombinasi dengan HemoHIM pada tikus yang mengandung tumor.Enhancing the antitumor efficacy of cisplatin in combination with HemoHIM in tumor-bearing mice.종양 보유 쥐에서 시스플라틴과 헤모힘의 병용을 통한 항종양 효능 증대
  9. Pemulihan fungsi kekebalan tubuh pada tikus tua dengan suplementasi komposisi herbal baru, HemoHIM.Restoration of the immune function in aged mice by supplementation with a new herbal composition, HemoHIM.새로운 허브 조성물 헤모힘 보충을 통한 노령 쥐의 면역 기능 회복
  10. HemoHIM meningkatkan kemanjuran terapi pengobatan radiasi pengion pada tikus yang mengandung tumor.HemoHIM improves the therapeutic efficacy of ionizing radiation treatment in tumor-bearing mice.헤모힘이 종양 보유 쥐에서 전리 방사선 치료의 치료 효능을 향상시킴
  11. Efek perlindungan dari sediaan herbal (HemoHIM) terhadap cedera usus akibat radiasi pada tikus.Protective effects of a herbal preparation (HemoHIM) on radiation-induced intestinal injury in mice.방사선으로 인한 쥐의 장 손상에 대한 허브 제제(헤모힘)의 보호 효과
  12. Efek pencegahan sediaan herbal (HemoHIM) terhadap perkembangan peradangan saluran napas pada tikus melalui modulasi diferensiasi sel Th1/2.Preventive effect of herbal preparation (HemoHIM) on development of airway inflammation in mice via modulation of Th1/2 cell differentiation.Th1/2 세포 분화 조절을 통한 허브 제제(헤모힘)의 쥐 기도 염증 발생 억제 효과
  13. HemoHIM meningkatkan morfologi ovarium dan menurunkan ekspresi faktor pertumbuhan saraf pada tikus dengan ovarium polikistik yang diinduksi steroid.HemoHIM improves ovarian morphology and decreases expression of nerve growth factor in rats with steroid-induced polycystic ovaries.헤모힘이 스테로이드 유발 다낭성 난소 증후군 쥐 모델에서 난소 형태를 개선하고 신경 성장 인자 발현을 감소시킴
  14. HemoHIM memperbaiki penurunan regulasi respon imun seperti Th1 yang persisten pada tikus yang difraksinasi dengan iradiasi γ dengan memodulasi jalur pensinyalan IL-12p70-STAT4.HemoHIM ameliorates the persistent down-regulation of Th1-like immune responses in fractionated γ-irradiated mice by modulating the IL-12p70-STAT4 signaling pathway.헤모힘이 IL-12p70-STAT4 신호 전달 경로를 조절하여 분할 감마선 조사 쥐의 지속적인 Th1 유사 면역 반응 하향 조절을 개선함
  15. Skrining zat anti obesitas dari campuran herbal.Screening of anti-obesity agents from herbal mixtures.허브 혼합물에서 항비만 물질의 스크리닝
  16. Aktivitas Antikanker Sinergis MH-30 pada Model Murine Melanoma yang Diobati Dengan Cisplatin dan Efeknya yang Mengurangi Terhadap Toksisitas yang Diinduksi Cisplatin pada Tikus.Synergistic Anticancer Activity of MH-30 in a Cisplatin-Treated Melanoma Murine Model and Its Ameliorating Effect on Cisplatin-Induced Toxicity in Mice.시스플라틴 치료 흑색종 쥐 모델에서 MH-30의 시너지 항암 활성 및 시스플라틴 유발 독성 완화 효과
  17. Standardized Extract (HemoHIM) Melindungi dari Amnesia Akibat Skopolamin dalam Model MurineStandardized Extract (HemoHIM) Protects Against Scopolamine-Induced Amnesia in a Murine Model표준화 추출물(헤모힘)이 쥐 모델에서 스코폴라민 유발 건망증을 예방함
  18. Efek antioksidan dan antifatigue dari fraksi terstandar (HemoHIM) dari Angelica gigas, Cnidium officinale, dan Paeonia laktifloraAntioxidant and antifatigue effects of a standardized fraction (HemoHIM) from Angelica gigas, Cnidium officinale, and Paeonia lactiflora참당귀, 천궁 및 백작약의 표준화 분획(헤모힘)의 항산화 및 항피로 효과
  19. Khasiat Sediaan Herbal (HemoHIM® Atomy) terhadap Pneumonia Terkait VentilatorEfficacy of a Herbal Preparation (Atomy HemoHIM®) against Ventilator-Associated Pneumonia인공호흡기 관련 폐렴에 대한 허브 제제(애터미 헤모힘®)의 효능
  20. Evaluasi toksisitas oral akut, dosis berulang selama 28 hari, 13 minggu dan genotoksisitas ekstrak herbal (HemoHIM G) dari Angelica sinensis, Ligusticum chuanxiong, dan Peaonia laktifloraEvaluation of acute oral toxicity, 28-day and 13-week repeated-dose toxicity, and genotoxicity of herbal extract (HemoHIM G) from Angelica sinensis, Ligusticum chuanxiong, and Paeonia lactiflora당귀, 천궁, 백작약 허브 추출물(헤모힘 G)의 급성 경구 독성, 28일 및 13주 반복 투여 독성 및 유전독성 평가
  21. Efek Antioksidan dan Anti-Kelelahan dari Fraksi Ekstrak Tumbuhan Terstandar (HemoHIM)Antioxidant and Anti-Fatigue Effects of Standardized Botanical Extract Fraction (HemoHIM)표준화 식물 추출물 분획(헤모힘)의 항산화 및 항피로 효과
  22. Evaluasi toksisitas oral akut, dosis berulang 28 hari dan 13 minggu serta genotoksisitas dari fraksi standar ( HemoHIM ) dari Angelica gigas, Cnidium officinale, dan Paeonia lactiflora.Evaluation of acute oral toxicity, 28-day and 13-week repeated-dose toxicity and genotoxicity of a standardized fraction (HemoHIM) of Angelica gigas, Cnidium officinale, and Paeonia lactiflora.당귀, 천궁, 백작약의 표준화 분획(헤모힘)의 급성 경구 독성, 28일 및 13주 반복 투여 독성 및 유전독성 평가
  23. Keamanan dan Tolerabilitas HemoHIM : Uji Klinis Acak, Terkendali Plasebo, Double-Blind, dan Paralel pada Relawan Manusia Sehat.Safety and Tolerability of HemoHIM : A Randomized, Placebo-Controlled, Double-Blind, Parallel Clinical Trial in Healthy Human Volunteers.헤모힘의 안전성 및 내약성: 건강한 자원자를 대상으로 한 무작위, 위약 대조, 이중 맹검, 병행 임상 시험.

Bagian 8: Konteks & Detail Krisis Methoxsalen Part 8: Context & Details of the Methoxsalen Crisis 파트 8: 메톡살렌 이슈의 배경 및 세부 정보

Apa itu Methoxsalen dan Dari Mana Asalnya? What is Methoxsalen and Where Does It Come From? 메톡살렌이란 무엇이며 어디에서 오는가?

Methoxsalen adalah senyawa kimia dari keluarga furanocoumarin yang terjadi secara alami di banyak tanaman. Senyawa ini bersifat fotosensitif, artinya menjadi aktif ketika terkena radiasi UV. Karena sifatnya ini, Methoxsalen murni digunakan dalam dunia medis di bawah pengawasan dokter untuk pengobatan penyakit kulit seperti psoriasis dan vitiligo. Dalam kasus HemoHIM, Methoxsalen **bukanlah zat tambahan yang sengaja dimasukkan**, melainkan senyawa yang secara alami terkandung dalam salah satu bahan utamanya, yaitu akar tanaman **Angelica Gigas Radix**. Methoxsalen is a chemical compound from the furanocoumarin family that occurs naturally in many plants. This compound is photosensitive, meaning it becomes active when exposed to UV radiation. Due to this property, pure Methoxsalen is used in medicine under a doctor's supervision for the treatment of skin diseases like psoriasis and vitiligo. In the case of HemoHIM, Methoxsalen was **not an intentionally added substance**, but a naturally occurring compound within one of its main ingredients, the root of the **Angelica Gigas Radix** plant. 메톡살렌은 많은 식물에서 자연적으로 발생하는 푸라노쿠마린 계열의 화학 물질입니다. 이 화합물은 광과민성이 있어 자외선에 노출될 때 활성화됩니다. 이러한 특성 때문에 순수 메톡살렌은 건선이나 백반증과 같은 피부 질환 치료를 위해 의사의 감독 하에 의료용으로 사용됩니다. 헤모힘의 경우, 메톡살렌은 **의도적으로 첨가된 물질이 아니라**, 주요 성분 중 하나인 **당귀(Angelica Gigas Radix)** 뿌리에 자연적으로 포함된 화합물입니다.

Kontroversi Kadar: Jauh di Bawah Batas Toksisitas The Controversy of Levels: Far Below the Toxicity Limit 검출량 논란: 독성 한계치에 훨씬 못 미치는 수준

Poin krusial dalam kasus ini adalah kadar Methoxsalen yang terdeteksi. Menurut data penjelasan, kadar yang terdeteksi hanya **0.5mg per dosis harian (2 saset)**. Angka ini sangat kecil jika dibandingkan dengan batas kadar toksisitas Methoxsalen yang berada di angka **200mg**. Artinya, seseorang perlu mengonsumsi **400 saset HemoHIM secara bersamaan** untuk mendekati batas tersebut. Hal ini menunjukkan bahwa isu utamanya adalah masalah kepatuhan regulasi (adanya zat yang tidak dideklarasikan), bukan karena produk tersebut beracun pada dosis normal. A crucial point in this case is the detected level of Methoxsalen. According to explanatory data, the detected level was only **0.5mg per daily dose (2 sachets)**. This amount is minuscule compared to the toxicity limit of Methoxsalen, which is around **200mg**. This means a person would need to consume **400 sachets of HemoHIM at the same time** to approach this limit. This indicates that the main issue was one of regulatory compliance (the presence of an undeclared substance), rather than the product being toxic at a normal dosage. 이 사건의 핵심은 검출된 메톡살렌의 양입니다. 설명 자료에 따르면, 검출된 수치는 **1일 섭취량(2포) 당 0.5mg**에 불과했습니다. 이 수치는 약 **200mg**인 메톡살렌의 독성 한계치와 비교할 때 극히 미미한 수준입니다. 즉, 이 한계치에 접근하려면 정상적인 사람이 한 번에 **헤모힘 400포를 동시에 섭취**해야 합니다. 이는 이 문제의 본질이 정상적인 용량에서 제품에 독성이 있기 때문이 아니라, (신고되지 않은 물질의 존재와 관련된) 규제 준수 문제였음을 보여줍니다.

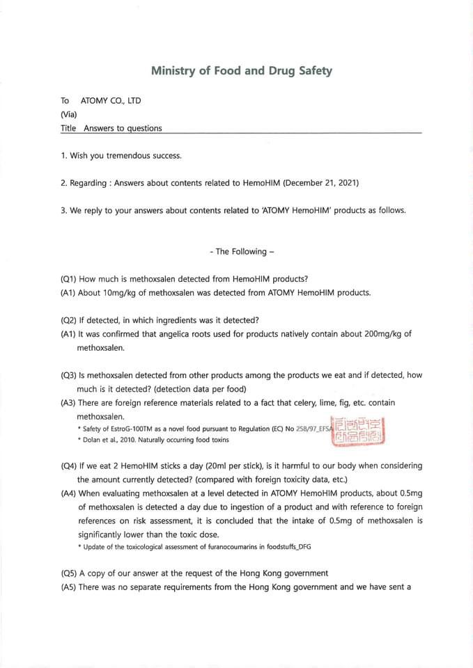
Bagian 9: Pernyataan Sertifikat Notaris dari Korea Ministry of Food and Drug Safety (MFDS) tentang kasus ini Part 9: Notarial Certificate Statement from the Korean Ministry of Food and Drug Safety (MFDS) regarding this case 파트 9: 이 사건에 대한 한국 식품의약품안전처(MFDS)의 공증 인증서 성명

Notarial Certificate Statement for HemoHIM - Page 1 Notarial Certificate Statement for HemoHIM - Page 2 Notarial Certificate Statement for HemoHIM - Page 3

Bagian 10: Analisis Kronologis per Wilayah Part 10: Chronological Analysis by Region 파트 10: 지역별 연대기 분석

Perbandingan Status Regulasi Comparison of Regulatory Status 규제 상태 비교

WilayahRegion지역 Penarikan AwalInitial Recall초기 회수 Strategi & Waktu ResolusiResolution Strategy & Timeline해결 전략 및 일정 Status Saat IniCurrent Status현재 상태
Hong Kong November 2021 Negosiasi regulasi yang masih berlangsung. Regulatory negotiations are still ongoing. 규제 당국과의 협상이 아직 진행 중입니다. Masih dalam ProsesStill in Process진행 중
Taiwan November 2021 Reformulasi produk (HemoHIM-G), rilis Mei 2024. Product reformulation (HemoHIM-G), released May 2024. 제품 재포뮬러(HemoHIM-G), 2024년 5월 출시. Sudah Beredar KembaliBack in Circulation유통 재개
Singapore November 2021 Validasi batch baru, disetujui kembali pada awal 2022. New batch validation, re-approved in early 2022. 신규 배치 검증을 거쳐 2022년 초에 재승인됨. Sudah Beredar KembaliBack in Circulation유통 재개

Detail Kasus: Hong KongCase Details: Hong Kong사건 세부 정보: 홍콩

Masih dalam ProsesStill in Process진행 중

Proses di Hong Kong menjadi yang paling kompleks dan berlarut-larut. Berikut adalah analisis mendalam mengenai kemungkinan alasan di balik penangguhan yang berkelanjutan. The process in Hong Kong has become the most complex and prolonged. Here is an in-depth analysis of the possible reasons for the ongoing suspension. 홍콩에서의 절차가 가장 복잡하고 오래 지속되고 있습니다. 다음은 지속적인 판매 중단 조치에 대한 심층 분석입니다.

Mengapa HemoHIM Masih dalam Proses di Hong Kong? Why is HemoHIM Still in Process in Hong Kong? 헤모힘이 홍콩에서 아직 진행 중인 이유는 무엇입니까?

  • Kerangka Regulasi yang Berbeda:Different Regulatory Framework:상이한 규제 프레임워크: Hong Kong's Centre for Food Safety (CFS) memiliki peraturan yang sangat ketat mengenai "undeclared substances" (zat yang tidak dideklarasikan). Tidak seperti Singapura yang mungkin lebih fleksibel jika batch baru terbukti aman, CFS kemungkinan besar memandang keberadaan Methoxsalen—sekecil apapun—sebagai pelanggaran kepatuhan yang fundamental. Hong Kong's Centre for Food Safety (CFS) has very strict regulations regarding "undeclared substances." Unlike Singapore, which might be more flexible if a new batch is proven safe, the CFS likely views the presence of Methoxsalen—no matter how small—as a fundamental compliance violation. 홍콩 식품안전청(CFS)은 '미신고 물질'에 대해 매우 엄격한 규정을 두고 있습니다. 신규 배치가 안전하다고 입증되면 유연하게 대처할 수 있는 싱가포르와 달리, CFS는 메톡살렌의 존재 자체를 (미량이라 할지라도) 근본적인 규정 위반으로 간주할 가능성이 높습니다.
  • Klasifikasi Produk:Product Classification:제품 분류: HemoHIM kemungkinan berada di area abu-abu antara "suplemen makanan" dan "obat herbal Tiongkok" (Chinese Proprietary Medicine). Jika regulator cenderung mengklasifikasikannya lebih dekat ke obat, maka persyaratan untuk pendaftaran, pembuktian keamanan, dan data klinis menjadi jauh lebih berat. HemoHIM likely falls into a gray area between a "food supplement" and a "Chinese Proprietary Medicine." If regulators lean towards classifying it as a medicine, the requirements for registration, safety proof, and clinical data become much more stringent. 헤모힘은 '건강기능식품'과 '중성약(Chinese Proprietary Medicine)' 사이의 회색 지대에 속할 가능성이 있습니다. 규제 당국이 의약품에 가깝게 분류할 경우, 등록, 안전성 증명 및 임상 데이터에 대한 요구 사항이 훨씬 더 엄격해집니다.
  • Beban Pembuktian yang Lebih Tinggi:Higher Burden of Proof:더 높은 입증 책임: CFS mungkin tidak hanya meminta bukti bahwa batch baru bebas kontaminasi, tetapi juga menuntut Atomy untuk memberikan analisis akar masalah (root cause analysis) yang komprehensif, serta bukti sistem kontrol kualitas yang telah dirombak total untuk menjamin insiden serupa tidak akan pernah terjadi lagi. Standar pembuktian ini mungkin lebih tinggi daripada yang diminta oleh regulator Singapura. The CFS might not only require proof that new batches are free of contamination but also demand a comprehensive root cause analysis from Atomy, along with evidence of a completely overhauled quality control system to guarantee a similar incident will never happen again. This standard of proof may be higher than what was required by Singapore's regulators. CFS는 단순히 새로운 배치가 오염되지 않았다는 증거뿐만 아니라, 유사한 사건이 재발하지 않도록 애터미 측에 종합적인 근본 원인 분석과 전면 개편된 품질 관리 시스템의 증거를 요구할 수 있습니다. 이 입증 수준은 싱가포르 규제 당국이 요구한 것보다 더 높을 수 있습니다.
  • Tidak Adanya Solusi Reformulasi:No Reformulation Solution:재포뮬러 솔루션 부재: Berbeda dengan Taiwan dimana Atomy meluncurkan HemoHIM-G sebagai solusi, belum ada pengumuman mengenai produk serupa yang dirancang khusus untuk pasar Hong Kong. Ini mengindikasikan bahwa Atomy masih mencoba untuk mendapatkan persetujuan bagi formula asli, sebuah proses yang terbukti sangat sulit. Unlike in Taiwan where Atomy launched HemoHIM-G as a solution, there has been no announcement of a similar product designed specifically for the Hong Kong market. This indicates that Atomy is still trying to get approval for the original formula, a process that has proven very difficult. 대만에서 애터미가 헤모힘-G를 출시한 것과는 달리, 홍콩 시장을 위해 특별히 고안된 유사 제품에 대한 발표는 아직 없습니다. 이는 애터미가 여전히 기존 포뮬러에 대한 승인을 얻기 위해 노력하고 있음을 시사하며, 이는 매우 어려운 과정임을 보여줍니다.

November 2021: Penarikan ProdukNovember 2021: Product Recall2021년 11월: 제품 회수

CFS memerintahkan penarikan HemoHIM setelah sampel produk terbukti mengandung Methoxsalen. The CFS ordered the recall of HemoHIM after product samples tested positive for Methoxsalen. CFS는 제품 샘플에서 메톡살렌이 검출된 후 헤모힘의 회수를 명령했습니다.

2022 - Sekarang: Proses Negosiasi yang Stagnan2022 - Present: Stagnant Negotiation Process2022년 - 현재: 정체된 협상 과정

Sejak penarikan, dialog antara Atomy dan CFS terus berjalan. Namun, belum adanya resolusi menunjukkan bahwa Atomy belum berhasil memenuhi persyaratan data dan jaminan keamanan yang sangat ketat dari CFS. Since the recall, dialogue between Atomy and the CFS has continued. However, the lack of a resolution indicates that Atomy has not yet succeeded in meeting the very strict data and safety assurance requirements of the CFS. 회수 이후 애터미와 CFS 간의 대화는 계속 이어졌습니다. 하지만 아직 해결책이 나오지 않았다는 것은 애터미가 CFS의 매우 엄격한 데이터 및 안전 보장 요건을 아직 충족하지 못했음을 나타냅니다.

Detail Kasus: TaiwanCase Details: Taiwan사건 세부 정보: 대만

Sudah Beredar KembaliBack in Circulation유통 재개

Taiwan adalah contoh utama dari strategi adaptasi produk. Atomy mengambil jalan panjang untuk mengembangkan solusi yang sepenuhnya baru. Taiwan is a prime example of a product adaptation strategy. Atomy took the long road to develop an entirely new solution. 대만은 제품 현지화 전략의 대표적인 사례입니다. 애터미는 완전히 새로운 솔루션을 개발하기 위해 긴 여정을 택했습니다.

Solusi Jangka Panjang: HemoHIM-GLong-Term Solution: HemoHIM-G장기적인 해결책: 헤모힘-G

HemoHIM-G adalah produk yang diformulasi ulang, menggantikan bahan baku Angelica Gigas Radix dengan Angelica Sinensis Radix. Langkah proaktif ini memastikan produk secara inheren patuh pada regulasi ketat Taiwan. HemoHIM-G is a reformulated product, replacing the raw material Angelica Gigas Radix with Angelica Sinensis Radix. This proactive step ensures the product is inherently compliant with Taiwan's strict regulations. 헤모힘-G는 기존 참당귀(Angelica Gigas Radix) 대신 당귀(Angelica Sinensis Radix)로 원료를 교체한 재포뮬러 제품입니다. 이러한 사전 조치로 제품이 대만의 엄격한 규제를 본질적으로 준수하도록 보장했습니다.

November 2021: Penarikan Awal oleh TFDANovember 2021: Initial Recall by TFDA2021년 11월: TFDA에 의한 초기 회수

Taiwan Food and Drug Administration (TFDA) memerintahkan penarikan HemoHIM. The Taiwan Food and Drug Administration (TFDA) ordered the recall of HemoHIM. 대만 위생복리부 식품약물관리서(TFDA)에서 헤모힘 회수를 명령했습니다.

2022 - 2023: Fase Riset dan Pengembangan2022 - 2023: Research and Development Phase2022년 - 2023년: 연구 및 개발 단계

Atomy dan Kolmar BNH menggunakan periode ini untuk riset, formulasi, dan pengujian HemoHIM-G. Atomy and Kolmar BNH used this period for the research, formulation, and testing of HemoHIM-G. 애터미와 콜마BNH는 이 기간을 헤모힘-G의 연구, 포뮬레이션 및 테스트에 활용했습니다.

Mei 2024: Peluncuran Resmi HemoHIM-GMay 2024: Official Launch of HemoHIM-G2024년 5월: 헤모힘-G 공식 출시

Setelah mendapatkan persetujuan, Atomy secara resmi meluncurkan HemoHIM-G di Taiwan. After receiving approval, Atomy officially launched HemoHIM-G in Taiwan. 승인을 얻은 후, 애터미는 대만에서 헤모힘-G를 공식적으로 론칭했습니다.

Detail Kasus: SingapuraCase Details: Singapore사건 세부 정보: 싱가포르

Sudah Beredar KembaliBack in Circulation유통 재개

Singapura berhasil menyelesaikan masalah ini paling cepat melalui respons proaktif dan kerjasama yang efisien dengan regulator. Singapore resolved this issue the fastest through a proactive response and efficient cooperation with regulators. 싱가포르는 규제 당국과의 효율적인 협력과 선제적인 대응을 통해 이 문제를 가장 빠르게 해결했습니다.

5 November 2021: Penghentian Penjualan ProaktifNovember 5, 2021: Proactive Sales Halt2021년 11월 5일: 선제적 판매 중단

Atomy Singapura secara proaktif menghentikan sementara penjualan HemoHIM demi memastikan keamanan produk. Atomy Singapore proactively suspended sales of HemoHIM to ensure product safety. 애터미 싱가포르는 제품의 안전을 보장하기 위해 선제적으로 헤모힘의 판매를 중단했습니다.

Nov 2021 - Feb 2022: Proses Validasi CepatNov 2021 - Feb 2022: Swift Validation Process2021년 11월 - 2022년 2월: 신속한 검증 절차

Atomy bekerja sama dengan Health Sciences Authority (HSA), menyerahkan data dari batch produksi baru untuk membuktikan produk bebas dari kontaminasi. Atomy worked with the Health Sciences Authority (HSA), submitting data from new production batches to prove the product was free of contamination. 애터미는 싱가포르 보건과학청(HSA)과 협력하여 제품이 오염되지 않았음을 증명하기 위해 신규 생산 배치의 데이터를 제출했습니다.

Maret 2022: Izin Edar Diberikan KembaliMarch 2022: Re-authorization to Sell2022년 3월: 유통 재개 허가

Setelah HSA puas dengan bukti keamanan, HemoHIM diizinkan untuk dijual kembali. After the HSA was satisfied with the new safety evidence, HemoHIM was permitted to be sold again. HSA가 새로운 안전성 증명에 만족한 후, 헤모힘의 판매가 다시 허용되었습니다.